2018年河北美术统考成绩统计表

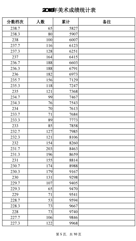
说明:成绩统计表中的人数为文化分在控制线上的考生人数。

2018年河北美术统考成绩统计表

2018年河北美术统考成绩统计表

2018年河北美术统考成绩统计表

2018年河北美术统考成绩统计表

2018年河北美术统考成绩统计表

2018年河北美术统考成绩统计表

2018年河北美术统考成绩统计表

2018年河北美术统考成绩统计表

2018年河北美术统考成绩统计表

本文由用户:艺考 投稿分享,如有侵权请联系我们(点击这里联系)处理,若转载,请注明出处:http://xueli.yktime.cn/43816.html

(0)

相关推荐

  • 农业电气化技术专业好不好?

    农业电气化专业就业方向:我国的农业电气化的水平还比较低,农业电气化是农业机械化和自动化的重要技术基础。农业电气化的范畴遍及农业各个部门的所有生产过程. 粮食深加工,酿造,全自动化温…

    专栏 2023-06-19
    0
  • 从素描过渡到色彩,小技巧在这里

    小色稿是色彩的基础课程,同学们一定要了解并掌握,对于后期色彩静物有很大的帮助。 单色稿 ①色稿通常是指正式作画之前所作的尝试性练习。画小色稿是每一个初学色彩的同学必经的基础阶段,它…

    专栏 2023-06-21
    0
  • 2022年山西药科职业学院有单招吗?

    为进一步深化高等职业教育考试招生制度改革,推进职业教育体系建设,完善高职院校分类考试招生制度,根据《教育部办公厅关于进一步完善高职院校分类考试工作的通知》(教学厅函[2021]36…

    专栏 2023-06-19
    0
  • 武昌工学院2021年普通专升本《数字电路》考试大纲

      2022年专升本考试正式拉开帷幕,为了帮助考生们更好的备考,下面库课小编给大家分享一下武昌工学院2021年专升本《数字电路》考试大纲,有报考武昌工学院的电气及其自动化、电子信息…

    专栏 2023-06-19
    0
  • 2018浙江艺术校考政策公布

    浙江省教育考试院关于2018年普通高校招生艺术类专业校考设点的通知 有关艺术类招生的省外普通高校:  根据教育部有关艺术类招生文件精神,凡符合规定需在我省设点组织艺术类专业校考的高…

    专栏 2023-06-19
    0
  • 2022年广东省新兴中药学校有哪些专业

    为您整理了2022年广东省新兴中药学校有5个热门专业,专业数据来源网络供参考,专业介绍、收费标准请广东省新兴中药学校官网公布为准。 广东省新兴中药学校开设的专业: 1、助产 2、护…

    专栏 2023-06-19
    0
  • 2022年四川省安岳第一职业技术学校有哪些专业

    为您整理了2022年四川省安岳第一职业技术学校有9个热门专业,专业数据来源网络供参考,专业介绍、收费标准请四川省安岳第一职业技术学校官网公布为准。 四川省安岳第一职业技术学校开设的…

    专栏 2023-06-19
    0
  • 2017届就业率TOP50专业,数字媒体艺术高居第11位

      高考将至,近百万艺考生将进行人生的一项艰难选择――选专业。如何选择适销对路的专业?什么专业就业率更高?我们为您揭晓2017届大学毕业生就业率较高专业top50。   说明:本科…

    专栏 2023-06-19
    0

发表回复

您的邮箱地址不会被公开。 必填项已用 * 标注