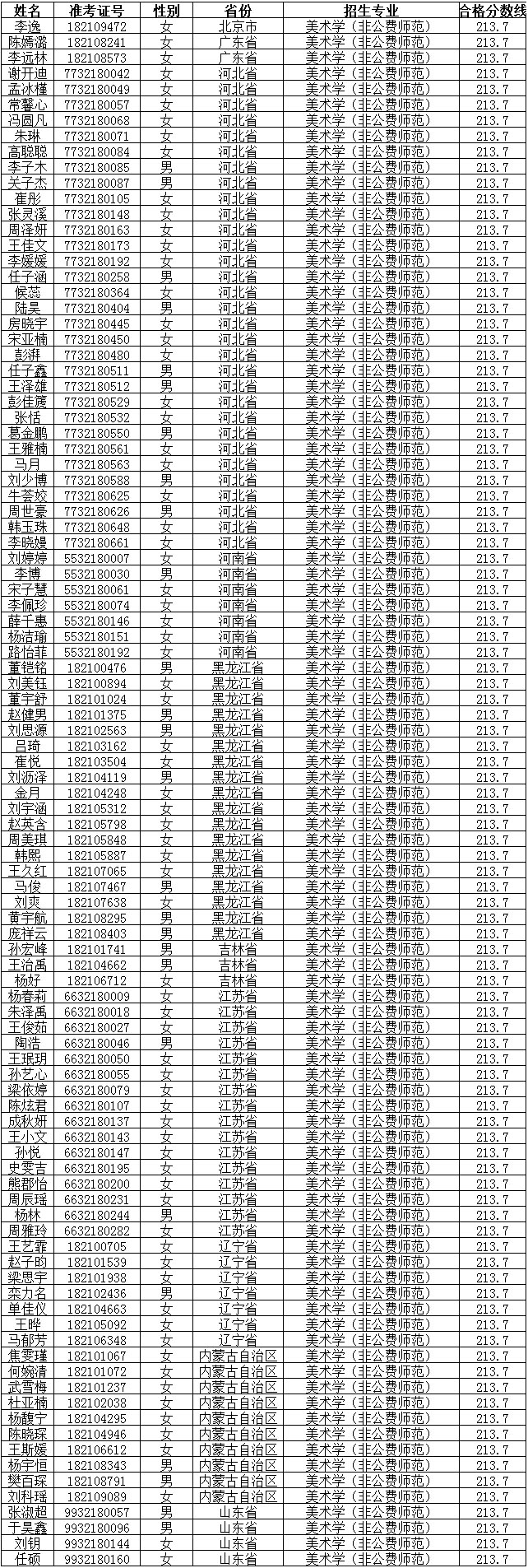
2018年东北师范大学美术学(非公费师范)专业校考合格名单

东北师范大学2018年美术学(非公费师范)专业校考合格名单

2018年东北师范大学美术学(非公费师范)专业校考合格名单

    公示时间为2018年5月15日-21日。公示期间,如有异议,请实名书面向我校招生办公室提出。
    招生办公室电话:0431-85098500。
    纪检监察部门电话:0431-85098259。

本文由用户:艺考 投稿分享,如有侵权请联系我们(点击这里联系)处理,若转载,请注明出处:http://xueli.yktime.cn/43237.html

(0)

相关推荐

  • 2022年婺源县鄣公山共产主义劳动大学有哪些专业

    为您整理了2022年婺源县鄣公山共产主义劳动大学有7个热门专业,专业数据来源网络供参考,专业介绍、收费标准请婺源县鄣公山共产主义劳动大学官网公布为准。 婺源县鄣公山共产主义劳动大学…

    专栏 2023-06-19
    0
  • 重庆邮电大学移通学院2017年艺术类本科招生计划

    重庆邮电大学移通学院2017年艺术类本科招生计划 省份 科类 专业 计划数 重庆 美术类 动画 60 重庆 美术类 数字媒体艺术 90 重庆 编导类 广播电视编导 210 贵州 美…

    专栏 2023-06-19
    0
  • 2022年四川省卫生学校有哪些专业

    为您整理了2022年四川省卫生学校有4个热门专业,专业数据来源网络供参考,专业介绍、收费标准请四川省卫生学校官网公布为准。 四川省卫生学校开设的专业: 1、护理 2、药剂 3、口腔…

    专栏 2023-06-19
    0
  • 2018年上海市播音与主持艺术专业统考实施办法

    2018年上海市普通高校招生播音与主持艺术专业统一考试实施办法   根据上海市教育考试院《关于印发的通知》(沪教考院高招〔2017〕45号)的文件精神,为进一步规范全市播音与主持艺…

    专栏 2023-06-19
    0
  • 武书连2012年中国大学艺术学排行榜

      艺术学是2011年新设立的学科门类,暂时只有艺术学一个学科类,20个本科专业。在本书中,开设艺术学专业的大学共476所。  武书连2012中国大学艺术学b级以上学校名单(其中b…

    专栏 2023-06-19
    0
  • 案例分析:选专业填志愿是关键的关键

    填志愿赶热门没梯度,沦到补报志愿   郭梦洁(化名),理科 超二本线19分,最后录进丽水学院。   2007年填志愿时,父母和我都认定在浙江和上海选大学,明知分数紧巴巴,还是从中圈…

    专栏 2023-06-19
    0
  • 2022年贵定县中等职业学校有哪些专业

    为您整理了2022年贵定县中等职业学校有7个热门专业,专业数据来源网络供参考,专业介绍、收费标准请贵定县中等职业学校官网公布为准。 贵定县中等职业学校开设的专业: 1、旅游服务与管…

    专栏 2023-06-19
    0
  • 2018年沈阳大学艺考成绩查询

        1、网站查询:http://zsjy.syu.edu.cn/zs/index.asp(在网页左侧下部“艺术类考生成绩查询”模块中查询)&nbs…

    专栏 2023-06-19
    0

发表回复

您的邮箱地址不会被公开。 必填项已用 * 标注